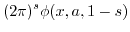
Analytic continuation of Dirichlet series with almost periodic coefficients
Oliver Knill and John Lesieutre
Date: November 9, 2008
Abstract:
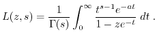
We consider Dirichlet series

for fixed irrational

and periodic functions

. We
demonstrate that for Diophantine

and smooth

, the
line

is a natural boundary in the Taylor series
case

, so that the unit circle is the maximal domain of
holomorphy for the almost periodic Taylor series

. We prove that a
Dirichlet series

has
an abscissa of convergence

if

is odd and real analytic
and

is Diophantine. We show that if

is odd and has bounded
variation and

is of bounded Diophantine type

, the abscissa of convergence
is smaller or equal than

. Using a polylogarithm
expansion, we prove that if

is odd and real analytic and

is
Diophantine, then the Dirichlet series

has an analytic continuation to the entire complex plane.
AMS classification: 11M99, 30D99, 33E20
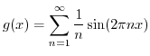
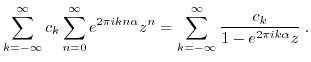
Let
be a piecewise continuous
-periodic
function with
Fourier expansion
.
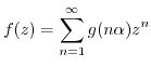
Define the
function
For irrational
, we call this a
Dirichlet series with almost periodic coefficients.
An example is the Clausen function, where
or the poly-logarithm, where
. Another example arises with
, the signed
distance from
to the nearest integer. Obviously for
,
such a Dirichlet series converges uniformly to an analytic limit.
The case that
is rational is less interesting, as the
following computation illustrates.
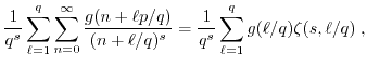
For periodic
and any odd function
, the zeta function
has an abscissa of convergence 0 and allows an analytic continuation
to the entire plane.
Proof.
Write
where

is the Hurwitz zeta function. So,
the periodic zeta function is a just finite sum of Hurwitz zeta
functions which individually allow a meromorphic continuation. Each
Hurwitz zeta function is analytic everywhere except at

, where it has
a pole of residue

: the series

has the
abscissa of convergence
0 and allows an analytic extension to the plane.
So, if

, which
is the case for example if

is odd, then the periodic
Dirichlet series has abscissa of convergence
0 and
admits an analytic continuation to the plane.
When
, the function
is merely a
multiple of the Riemann zeta function.
An other special case
leads to Taylor series
with
. Also here, the rational case is well understood:
If
is rational, the function
has a meromorphic
extension to the entire plane.
Proof.
If

define

. Then
The right hand side provides the meromorphic continuation of

.
We usually assume
because we are interested in the
growth of the random walk in the case
and because if
, the abscissa of convergence is in general
:
for
for example, where the Dirichlet series with
is a sum of the standard zeta function and the
Clausen function. The abscissa of convergence is
except for
, where the abscissa drops to 0.
Zeta functions
can more
generally be considered for any dynamically generated sequence
, where
is a homeomorphism of a
compact topological space
and
is a continuous function and
grows monotonically to
.
Random Taylor series associated
with an ergodic transformation were considered in [3,6].
The topic has also been explored in a probabilistic setup,
where
are independent random symmetric variables, in which case
the line
is a natural boundary [11].
Analytic continuation questions have also been studied for other
functions: if the coefficients are generated by finite automata, a
meromorphic continuation is possible [8].
In this paper we focus on Taylor series and ordinary Dirichlet series.
We restrict ourselves to the case, where the dynamical system is an
irrational rotation
on the circle. The minimality
and strict ergodicity of the system will often make the question
independent of the starting point
and allow to use
techniques of Fourier analysis and the Denjoy-Koksma inequality. We
are able to make statements
if
is Diophantine.
Dirichlet series can allow to get information on the growth of
the random walk
for a
-measure
preserving dynamical system
if
.
Birkhoffs ergodic theorem assures
. Similarly as the law of iterated
logarithm refines the law of large numbers in probability theory,
and Denjoy-Koksma type results provide further estimates on the growth rate
in the case of irrational rotations, one can study the growth rate for more
general dynamical systems.
The relation with algebra is as follows: if
grows like
then the abscissa of convergence of the ordinary Dirichlet series is
smaller or equal to
. In other words, establishing
bounds for the analyticity domain allows via Bohr's theorem to get
results on the abscissa of convergence which give upper bounds
of the growth rate. Adapting the
to the situation allows to
explore different growth behavior. The algebraic concept of Dirichlet
series helps so to understand a dynamical concept.
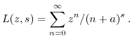
A general Dirichlet series is of the form
For
this is an ordinary Dirichlet series, while
for
, it is a Taylor series
with
. We primarily restrict our attention to these two cases.
We begin by considering the easier problem of Taylor series with
almost periodic coefficients and examine the analytic continuation of
such functions beyond the unit circle. Given a non-constant periodic
function
, we can look at the
problem of whether the Taylor series
can be analytically continued beyond the unit circle.
Note that all these functions have radius of convergence
because
.
We have already seen in the introduction that if
is rational, the function
has a meromorphic
extension to the entire plane. There is an other case where
analytic continuation can be established immediately:
Lemma 1
If
is a trigonometric polynomial and
is arbitrary,
then
has a meromorphic extension to the entire plane.
Proof.
Since

, it is enough to
verify this for

, in which case the series
sums to

.
On the other hand, if infinitely many of the Fourier coefficients for
are nonzero, analytic continuation may not be possible.
Proposition 2
Fix
. Assume
is in
for
,
and that all Fourier coefficients
of
are nonzero and that
is of Diophantine type
. Then the
almost periodic Taylor series
can not be continued beyond the unit circle.
Proof.
Write
Fix some

and consider the radial limit
The latter sum converges at

, as by the Diophantine
condition, the denominator is bounded below by

, while the
numerator

is bounded above by

for

by the differentiability
assumption on

. Because the term

diverges for

,
it follows that this radial limit is infinite for all

.
Consequently,

does not admit an analytic continuation to any larger set.
Remark 1
This result is related to a construction of Goursat, which shows
that for any domain

in

, there exists a function which
has

as a maximal domain of analyticity [
14]. In contrary to lacunary Taylor series like

which have the unit circle as a natural boundary too, all Taylor
coefficients are in general nonzero in the Taylor series
of Proposition
![[*]](/usr/share/latex2html/icons/crossref.png)
.
Remark 2
The function
is defined also outside the unit circle. The subharmonic function

has a Riesz measure

supported on the unit circle which
is dense pure point.
Remark 3
The requirement

is by no means
necessary. For example, any nonconstant step function

is not
even continuous, but by Szego's theorem (see [
14])
for power series with finitely many distinct coefficients which do not eventually repeat
periodically,

can not be analytically extended beyond the unit disk.
Remark 4
The condition that all Fourier coefficients are nonzero may be relaxed
to the assumption that the set of

, where

ranges over the indices of nonzero Fourier coefficients, is dense in

.
As the last remark may suggest, trigonometric polynomials are not
the only functions whose associated series allow an analytic
continuation beyond the unit circle.
Proposition 3
Let
be an arbitrary closed set on the unit
circle. There exists an almost periodic Taylor series which has an
analytic continuation to
but not to any
point of
.
Proof.
Set
and let

, and let

be Diophantine of any type

. Inside
the unit circle we have
For any

for which

, this sum converges
uniformly on a closed ball around

which does not intersect

(since the denominators of the non-vanishing terms are uniformly
bounded), and thus has an analytic neighborhood around such

. Any point in

lies in a compact neighborhood of
such a point. On the other hand, by the arguments of the preceding
lemma, analytic continuation is not possible in

itself.
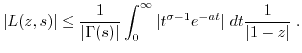
Cahen's formula for the abscissa of convergence of an ordinary
Dirichlet series
is
if
does not converge [4].
We will compute the abscissa of convergence
for two classes of functions and so derive bounds on the
random walks
which are stronger than those implied by the
Denjoy-Koksma inequality.
The first situation applies to real analytic
, where we can invoke the
cohomology theory of cocycles over irrational rotations:
Proposition 4
If
is real analytic,
and
is
Diophantine, then the series for
converges and
is analytic for
. In other words, the
abscissa of convergence is 0.
Proof.
Since

,

is
an additive coboundary: the Diophantine
property of

implies that the real analytic function
solves
Because

does not converge,
but stays bounded in absolute value by

,
Cahen's formula immediately implies that

.
Lets give a second proof without Cahen's formula.
For

, we have
The sum is bounded for

because

so that

. The function

is analytic in

as the limit of a
sequence of analytic functions which converge uniformly on a compact
subset of the right half plane. The uniform convergence follows from
Bohr's theorem (see [
4], Theorem 52).
We do not know what happens for irrational
which are not Diophantine
except if
is a trigonometric polynomial:
Lemma 5
If
is a trigonometric polynomial of period 1 with
and
is an arbitrary irrational number, then the abscissa of convergence
of
is 0.
Proof.
If

is a trigonometric polynomial, then

is a coboundary for
every irrational

because

for

.
In the case of the Clausen function for example and

, we have

. It follows that the series

converges for all trigonometric polynomials

, for
all irrational

and all

.
Remark 5
A special case is the zeta function
which is can be written as

,
where

is the
polylogarithm. Integral representations like
(see i.e. [
12]) show the analytic continuation for

rsp.

.
It follows that the function

has an analytic continuation to the
entire complex plane for all irrational

if

is a trigonometric
polynomial. We will use polylogarithms later.
The result in the last section had been valid if
satisfies
some Diophantine condition and
is real analytic. If the function
is
only required to be of bounded variation, then the abscissa of convergence
can be estimated. Lets first recall some definitions:
A real number
for
which there exist
and
satisfying
for all rational
is called Diophantine of type
. The set of
real numbers of type
have full Lebesgue measure for all
so that
also the intersection
of all these types have. The variation of a function
is
, where the supremum is taken over all
partitions
of
.
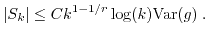
Proposition 6
If
is Diophantine of type
and if
is of bounded
variation with
,
then the series for
has an abscissa
of convergence
.
Proof.
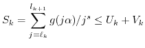
The Denjoy-Koksma inequality
(see Lemma
![[*]](/usr/share/latex2html/icons/crossref.png)
) implies that
for any

, the sum

satisfies
the estimate

, with

.
Cahen's formula for the abscisse of convergence gives
Remark 6
A weaker result could be obtained directly, without Cahen's formula.
Choose

such that
are summable. Then
is summable.
To compare: if
are independent, identically distributed
random variables with mean 0 and finite variance
, then
grows by the law of iterated logarithm like
and
the zeta function converges with probability
for
. The following
reformulation of the law of iterated logarithm follows directly from Cahen's formula:
(Law of iterated logarithm)
If
is a Bernoulli shift such that
produces
independent identically distributed random variables
with finite nonzero variance,
then the Dirichlet series
has the abscissa of convergence
.
We do not have examples in the almost periodic case yet, where the abscissa of convergence is
strictly between 0 and
like
.
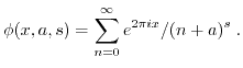
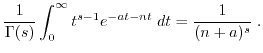
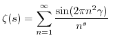
The Lerch transcendent is defined as
For
, we get the Lerch zeta function
In the special case
we have the polylogarithm
.
For
and general
, we have the Hurwitz zeta function, which becomes for
the Riemann zeta function. The following two Lemmas are standard
(see [7]).
Proof.
By expanding

, the claim is equivalent to
A substitution

changes this to
Now use

.
The improper integral is
analytic in
because
is
for
and
for
and for
, we have
Lemma 8
The Lerch transcendent has for fixed
and
an analytic continuation to the entire
-plane.
In every bounded region
in the complex plane, there is a constant
such that
and
.
Proof.
For any bounded region

in the complex plane we can find a constant

such that
Similarly, we can estimate

for any integer

.
The identity
 |
(1) |
allows us to define

for

: first define

in

by the recursion (
![[*]](/usr/share/latex2html/icons/crossref.png)
). Then use the identity (
![[*]](/usr/share/latex2html/icons/crossref.png)
)
again to define it in the strip

, then in the strip

, etc.
Remark 7
The Lerch transcendent is often written as a function of three variables:
it satisfies the functional equation
See [
13]. Using the functional equation
to do the analytic continuation is less obvious.
One of the main results in this paper is the following theorem:
Theorem 9
For all Diophantine
and every real analytic periodic function
satisfying
, the series
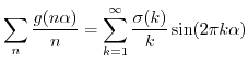
has an analytic continuation to the entire complex plane.
Proof.
The Fourier expansion of

evaluated at

gives
It produces a polylog expansion of
with

. Because

is real analytic, there exists

such that

. Since

and

is Diophantine,

so that

and
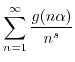
For any periodic function
, the series
produces for fixed
in the region of convergence a new periodic
function in
. For fixed
it is a
Dirichlet series in
. The Clausen function is
and the polylogarithm is
. We may then
consider a new almost periodic Dirichlet series generated by this
function, defined by
.
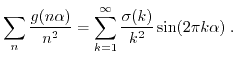
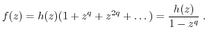
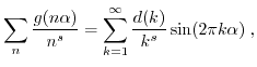
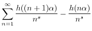
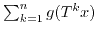
The following commutation formula can be useful to extend the
domain, where Dirichlet series are defined:
Lemma 10 (Commutation formula)
For
and
, we have
Proof.
We have
which we regard as a periodic function in

. It is continuous in

if evaluated for fixed

.
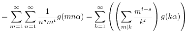
Then where our sum converges absolutely (which holds at least for

),
In fact, the double sum can be expressed as a single sum using the
divisor sum function
:
We can formulate this as follows: for
, we have
For example, evaluating the almost periodic Dirichlet series for the
periodic function
at
is the
same as evaluating the almost periodic Dirichlet series of the periodic
function
and evaluating it
at
. But since
is of bounded variation, the Dirichlet
series
has
an analytic continuation to all
and
for example is
defined if
is Diophantine of type
.
The commutation formula
allows us to define
as
,
even so
is not in
.
Remark 8
The commutation formula generalizes.
The irrational rotation

on

can be replaced by a
general topological dynamical system on

.
In the particular case that
is the Clausen function
,
the expression (
) is itself a Fourier series, whose
coefficients are the divisor function
.
We have
and
:
the value of
as a function of
is the Fourier transform on
of the multiplicative arithmetic function
.
For
for example, we get
if
is the function with Fourier coefficients
. In that
case, the Fourier coefficients of
the function has the multiplicative function
(called the index of
) as coefficients.
For
, we have
and
for odd integer
, the function
is a Bernoulli polynomial.
For
, we get
where
is the number of divisors of
. These sums converge
absolutely for
. If
is a positive odd integer,
is a Bernoulli polynomial (e.g. for
, we have
). For
(and still
), we have
The functions
, regarded as periodic functions of
, may be related by an identity of Ramanujan [15].
Applying Parseval's theorem to these Fourier series, one can deduce
If
fails to be of bounded variation, the previous results do not apply. Still,
there can be boundedness for the Dirichlet series if
.
The example
appears in the context of KAM theory and was the starting point of our investigations.
The product
is the determinant of a
truncated diagonal matrix representing the Fourier transform of the Laplacian
on
.
The function
has mean 0 but it is not bounded and
therefore has unbounded variation. Numerical experiments indicate
however that at least for many
of constant type,
. We can only show:
Proof.

because
which gives

.
Define

. Now
for all

and also for general

by the classical Denjoy-Koksma inequality. Choose

. Then
the set

.
The finite orbit

never hits that set and the sum is the same when
replacing

with the untruncated

. We get therefore
The rest of the proof is the same as for the classical Denjoy-Koksma
inequality.
The Denjoy-Koksma inequality is treated in [5,1].
Here is the exposition as found in [9].
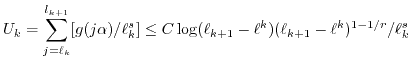
Proof.
(See [
9], Lemma 12).
If

is a periodic approximation of

, then
To see this, divide the circle into

intervals centered at the points

. These intervals have length

and each interval
contains exactly one point of the finite orbit

.
Renumber the points so that

is in

.
By the intermediate value theorem, there exists a Riemann sum

for which every

is in an interval

(choosing the point

gives
an lower and

gives an upper bound).
If

.
Now, if

and

, then
because

.
If

is of constant type then

is bounded and

implies

.
If

is Diophantine of type

, then

and

which implies

and so
The general fact

deals with the first term.
The second term is estimated as follows: from

, we have

and

.
One knows also
if the continued
fraction expansion
of
satisfies
eventually. See [2].
We were able to get entire functions
for rational
and Diophantine
. What
happens for Liouville
if
is not a trigonometric polynomial?
What happens for more general
?
For every
and
we get a function
. For
and Diophantine
, where
we observe a self-similar nature of the graph.
Is the Hausdorff dimension of the graph of
not an integer?
One can look at the problem for more general dynamical systems. Here is an example:
for periodic Dirichlet series generated by an ergodic translation on a two-dimensional
torus with a vector
, where
are irrational, the series is
In the case
, this leads to the Denjoy-Koksma type problem to estimate the growth
rate of the random walk
which is more difficult due to the lack of a natural continued
fraction expansion in two dimensions. In a concrete example like
, the question is, how fast the sum
grows with irrational
. Numerical experiments
indicate subpolynomial growth that
would hold for
Diophantine
and suggest the abscissa of convergence of the
Dirichlet series
is
. This series is of some historical interest since Riemann knew
in 1861 (at least according to Weierstrass [10]) that
is
nowhere differentiable.
- 1
-
I.P. Cornfeld, S.V.Fomin, and Ya.G.Sinai.
Ergodic Theory, volume 115 of Grundlehren der
mathematischen Wissenschaften in Einzeldarstellungen.
Springer Verlag, 1982.
- 2
-
N. Guillotin.
Asymptotics of a dynamical random walk in a random scenery: I. law of
large numbers.
Annales de l'IHP, section B, 36:127-151, 2000.
- 3
-
Judy Halchin and Karl Petersen.
Random power series generated by ergodic transformations.
Transactions of the American Mathematical Society, 297
(2):461-485, 1986.
- 4
-
G.H. Hardy and M. Riesz.
The general theory of Dirichlet's series.
Hafner Publishing Company, 1972.
- 5
-
M. Herman.
Sur la conjugaison différentiable des difféomorphismes du
cercle à des rotations.
49:5-233, 1979.
- 6
-
A. Ionescu-Tulcea.
Analytic continuation of random series.
J. Math. Mech., 9:399-410, 1960.
- 7
-
Alexander Ivic.
The Riemann Zeta-Function.
Dover Publications, Mineola, New York, 1985.
- 8
-
M.Mendés France J.-P. Allouche and J. Peyriére.
Automatic Dirichlet series.
Journal of Number Theory, 81:359-373, 2000.
- 9
-
S. Jitomirskaya.
Metal-insulator transition for the almost Mathieu operator.
Annals of Mathematics, 150:1159-1175, 1999.
- 10
-
J.-P. Kahane.
Lacunary Taylor and Fourier series.
Bull. Amer. Math. Soc., 70:199-213, 1964.
- 11
-
Jean-Pierre Kahane.
Some random series of functions.
D.C. Heath and Co, Rahtheon Education Co, Lexington, MA, 1968.
- 12
-
M.Howard Lee.
Polylogarithms and Riemann's
-function.
Physical Review E, 56, 1997.
- 13
-
M. Lerch.
Note sur la function
.
Acta Math., 11:19-24, 1887.
- 14
-
Reinhold Remmert.
Classical topics in complex function theory, volume 172 of Graduate Texts in Mathematics.
Springer-Verlag, New York, 1998.
Translated from the German by Leslie Kay.
- 15
-
B. M. Wilson.
Proofs of some formulae enunciated by Ramanujan.
Proc. London Math. Soc., 2-21(1):235-255, 1923.
2008-11-09