Problem B: The partial differential equation ft+f fx = fxx is called Burgers equation and describes waves. Verify that
is a solution of the Burgers equation.
Remarks: You can solve this problem without technology or, use technology if you like. Here is how you can verify with Mathematica that a function satisfies a partial differential equation. In the following example we verify that a function satisfies the heat equation. This function appears in the PDE handout.
f[t_,x_]:=(1/Sqrt[t])*Exp[-x^2/(4t)]; 
Simplify[ D[f[t,x],t] == D[f[t,x],{x,2}]]
If you should not have Mathematica installed, you can also plug in and differentiate functions into Wolfram Alpha. For example,
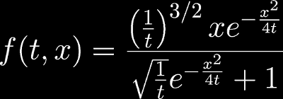
D[(x/t)*Sqrt[1/t]*Exp[-x^2/(4 t)]/(1+ Sqrt[1/t] Exp[-x^2/(4t)]),x]
computes the derivative of the above function with respect to x. Entering
(x/t)*Sqrt[1/t]*Exp[-x^2/(4 t)]/(1+ Sqrt[1/t] Exp[-x^2/(4t)])
plots the function. Note that Mathematica can be a bit picky if you enter things in a different way.
f[t_,x_]:=(x/t)*Sqrt[1/t]*Exp[-x^2/(4 t)]/(1+ Sqrt[1/t] Exp[-x^2/(4t)]);
should define the function under consideration.