Math 22b Spring 2022
22b Vector Analysis and Linear Algebra
Oloid
![]() Paul Schatz in 1968 with one of his polyhgedra, the ``Durchlauf Turbula" Image: Paul Schatz foundation. |
Hiro, one of the students in this class, mentioned the
Oloid, beautiful structure
popular in the 3D printing community. The object is the convex hull of the two
circles r(t) = [cos(t),sin(t),0] and s(t) = [cos(t)+1/2,0,sin(t)].
As a convex hull of two curves, it is a so called ruled surface. The object has been described first by the German sculptor and Mathematician Paul Schatz in 1932. Schatz (1998-1979) lived from 1927 to 1979 in Arlesheim Switzerland. The german Wikipedia page on Schatz is more informative than the English version. There is a Paul Schatz foundation. He also found the Invertible cube (Schatz cube) (I mention a related puzzle in the last few minutes of This youtube video on Rubik type puzzles. |
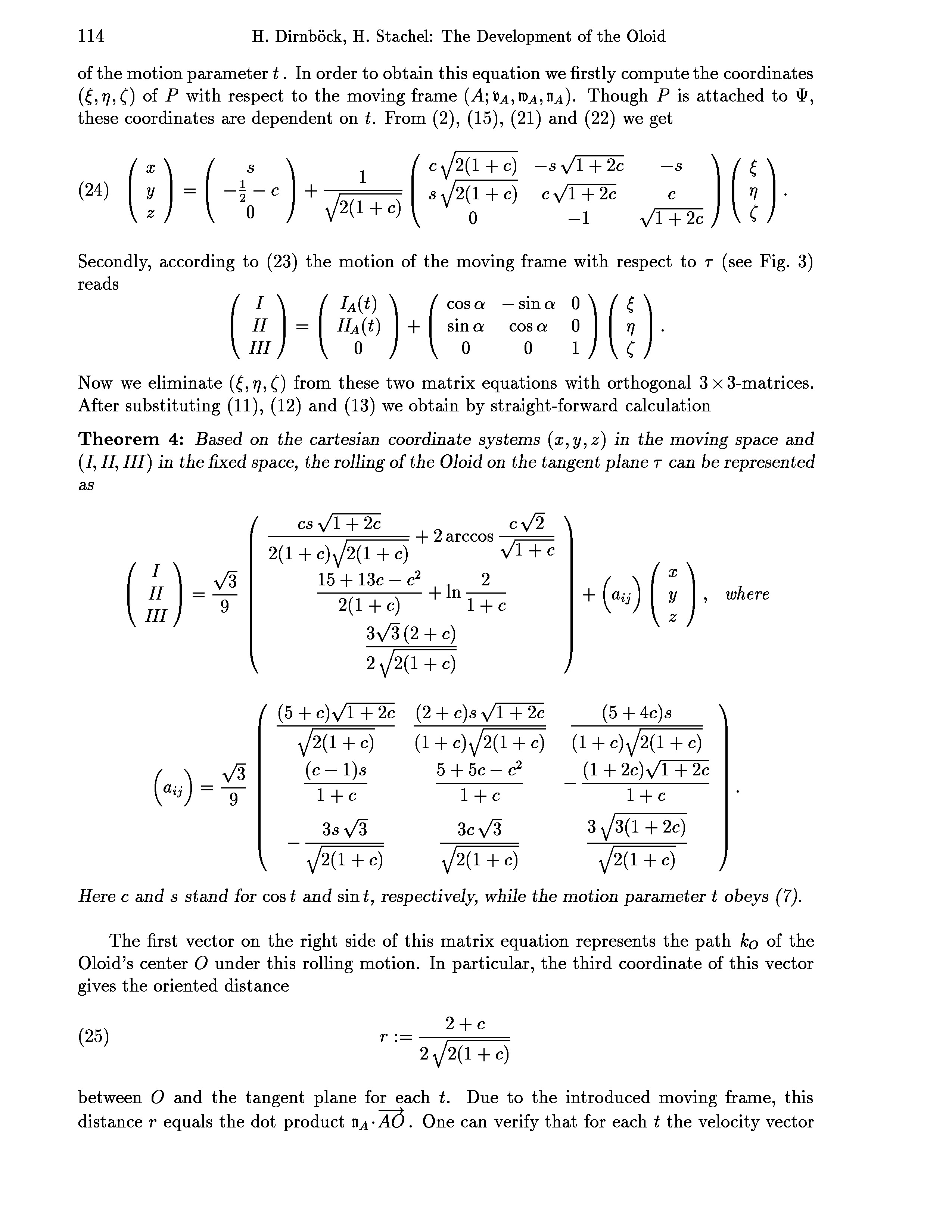
<
