Basics on Dirichlet Series 08/2008, Oliver Knill

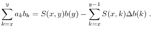
The finite sum $ S(x,y) = \sum_{k=x}^y a_k$ is a discrete version of a definite integral, $ \Delta a_n = a_{n+1}-a_n$ the discrete version of the derivative. A discrete version of the partial integration formula

$\displaystyle \int_x^y f(x) g(x) = F(x,y) g(y) - \int_x^y F(x,t) g'(t) \; dt $

with $ F(x,t) = \int_x^t f(s) \; ds$ is:

Lemma 1 (Abel's summation formula)  

$\displaystyle \sum_{k=x}^y a_k b_k = S(x,y) b(y) - \sum_{k=x}^{y-1} S(x,k) \Delta b(k) \; . $

Proof. The statement is true for $ x=y$. Induction with respect to $ y$ allows to compare the $ L(y)$ with the right hand side $ R(y)$: the equation $ L(y+1) = R(y+1)$ reads

$\displaystyle L(y) + a(y+1) b(y+1)
= R(y) -S(x,y) b(y) + S(x,y+1) b(y+1) - S(x,y) \Delta b(y)
= R(y) + a(y+1) b(y+1) \; . $

$ \qedsymbol$

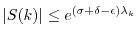
Lemma 2   let $ \lambda_n<\lambda_{n+1}$ be a monotonic sequence. Then $ \vert \Delta e^{-\lambda_n s} \vert \leq \frac{\vert s\vert}{\sigma} \Delta e^{-\lambda_n \sigma}$, if $ s = \sigma + i \tau$.

Proof.

$\displaystyle \vert \Delta e^{-\lambda_n s} \vert \leq \int_{\lambda_n}^{\lambd...
...u s} \; du
= \frac{\vert\sigma\vert}{\sigma} \Delta e^{-\lambda_n \sigma} \; . $

$ \qedsymbol$

Theorem 3 (Jensen-Cahen)   If the Dirichlet series $ f(s) = \sum_{n=1}^{\infty} a_n e^{-\lambda_n s}$ is convergent for $ s_0$, then it is convergent for $ s$ in any cone $ C(s_0,\alpha) = \{ \vert{\rm arg}(s-s_0)\vert \leq \alpha<\pi/2 \}$.

Proof. $\textstyle \parbox{16.8cm}{
\parbox{5cm}{\scalebox{0.40}{\includegraphics{cone/...
...igma} )
= \epsilon e^{-\lambda_m \sigma} < \epsilon \; . \end{displaymath}}
}$ $ \qedsymbol$

A sequence $ f_n$ of functions defined on a region $ G$ converge uniformely to a function $ f$ if $ \sup_{z \in G} \vert f_n(z)-f(z)\vert \to 0$.

It follows from the Jensen-Cahen Theorem that for every region $ G$ in the cone $ C(s_0,\alpha)$, the series is uniformly convergent as well as any of its derivatives $ f^{(n)}(s) = (-1)^n \sum_{k=1}^{\infty} a_k \lambda_k^n e^{-\lambda_k s}$.

Theorem 4   In every cone intersected with $ {\rm Re}(s)\geq \sigma> \sigma_0$, there are only finitely many roots of the Dirichlet series, unless the function is identically zero.

Proof. We show that there can not be any accumulation points of roots in any such intersection $ E$. Assume there were roots $ s_n = \sigma_n + i \tau_n$ with $ \sigma_n \to \infty$. Then the function $ g(s) = e^{\lambda_1 s} f(s) = a_1 + \sum_{n=2}^{\infty} a_n e^{-(\lambda_n-\lambda_1) s}$ is uniformly convergent in $ E$ and $ g(s) \to a_1$ for $ s \to \infty$ uniformly along any path. Because $ g(s_n) = 0$, we must have $ a_1=0$. We can now continue in the same way to get $ a_k=0$ for any integer $ k>1$. $ \qedsymbol$

The abscissa of simple convergence of a Dirichlet series $ \zeta(s) = \sum_n a_n e^{-\lambda_n s}$ is $ \sigma_0 = \inf \{ a \in \mathbb{R}\; \vert \; \zeta(z)$ converges for all $ {\rm Re}(z)>a \; \}$. The abscissa of absolute convergence of $ \zeta$ is $ \sigma_a = \inf \{ a \in \mathbb{R}\; \vert \; \zeta(z)$ converges absolutely for all $ {\rm Re}(z)>a \; \}$.

Example. The Dirichlet eta function $ \zeta(s) = \sum_{n=1}^{\infty} (-1)^{n-1}/n^s$ has the abscissa of convergence $ \sigma_0 = 0$ and the absolute abscissa of convergence $ \sigma_a = 1$.

Assume a Dirichlet series is not convergent for $ s=0$. In other words, the series $ S(k) = \sum_{n=1}^k a_n$ does not converge. The following formula generalizes the formula for the radius of convergence $ \limsup_{k \to \infty} \vert S(k)\vert^{1/k} = 1/r_0$ for Taylor series, where $ \lambda_k = k$ and where the radius of convergence $ r_0$ is related with the abscissa of convergence $ \sigma_0$ by $ e^{-\sigma_0} = r_0$.

Theorem 5 (Cahen's formula)   Assume the series $ S(k)$ does not converge, then the abscissa of convergence of the Dirichlet series is

$\displaystyle \sigma_0 = \limsup_{k \to \infty} \frac{\log(S(k))}{\lambda_k} \; . $

Proof. Because the sequence $ S(k)$ does not converge and especially not converge to 0, there is a constant $ C$ and infinitely many $ k$ for which $ \log\vert S(k)\vert > -C$. Therefore, $ \sigma_0 \geq 0$.
(i) Given $ s=\sigma_0+\delta> \sigma_0$ show that the series converges. Given $ 0<\epsilon<\delta$ $ \log\vert S(k)\vert \leq (\sigma + \delta - \epsilon) \lambda_k$ or $ \vert S(k)\vert \leq e^{(\sigma+\delta-\epsilon) \lambda_k}$ for large enough $ k$. Now use Abel's formula to show that the sum converges.
(ii) Assume $ \sum_k a_k e^{-\lambda_k s} = \sum_k b_k$ converges. Now write with Abel

$\displaystyle S_k = \sum_{n=1}^k b_n e^{\lambda_n s}
= \sum_{n=1}^k B(n) \Delta e^{\lambda_n s} - B(k) e^{\lambda_k s} $

showing that there exists $ C$ for which $ \vert S(k)\vert \leq C e^{\lambda_k s}$. $ \qedsymbol$

Similarly, there is a formula for the abscissa of absolute convergence: $ \sigma_a = \limsup_{k \to \infty} \frac{\log(\overline{S}(k))}{\lambda_k}$, where $ \overline{S}(k) = \sum_{n=1}^k \vert a_k\vert$.

Cahen's formula links the growth of the random walk $ S(k) = \sum_{n=1}^k a_k$ with the convergence properties of the zeta function $ \zeta(s)$.

Example: $ \zeta(s) = \sum_{n=1}^{\infty} e^{i n^{\alpha}}/n^s$ has $ \sigma_a = 1$ and $ \sigma_0 = 1-\alpha$.

Source: [1].

Bibliography

1
G.H. Hardy and M. Riesz.
The general theory of Dirichlet's series.
Hafner Publishing Company, 1972.


2008-11-09